Lời giới thiệu:
Đề thi vào lớp 10 năm học 2024 – 2025 trường THPT chuyên Lam Sơn - Thanh Hóa | năm học 2024-2025
Trích dẫn:
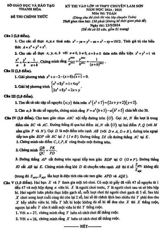
Cho các số thực x, y, z thỏa mãn x² - yz = y² - zx = z² - xy = 1012. Tính giá trị của biểu thức A = x² + y² + z².


Lời giới thiệu:
Đề thi vào lớp 10 năm học 2024 – 2025 trường THPT chuyên Lam Sơn - Thanh Hóa | năm học 2024-2025
Trích dẫn:
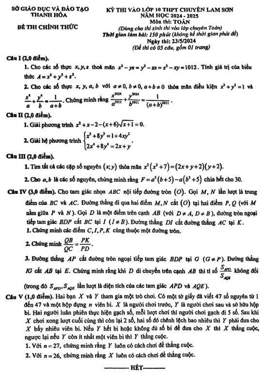
Cho các số thực x, y, z thỏa mãn x² - yz = y² - zx = z² - xy = 1012. Tính giá trị của biểu thức A = x² + y² + z².


Đã đăng ký Bộ Tài Chính